Progettazione di catene di zavorra per cell fender
Tu sei qui: Casa » Notizia » Progettazione di catene di zavorra per cell fender

Progettazione di catene di zavorra per cell fender

numero Sfoglia:0     Autore:Editor del sito     Pubblica Time: 2022-06-01      Origine:motorizzato

Richiesta

facebook sharing button
twitter sharing button
line sharing button
wechat sharing button
linkedin sharing button
pinterest sharing button
whatsapp sharing button
sharethis sharing button

Progettazione di catene di zavorra per cell fender

Riassunto: questo documento descrive la procedura di progettazione delle catene di pesi per il parafango cellulare.Come la selezione e la disposizione delle catene di pesi, il metodo di calcolo della tensione sulle catene di pesi, ecc.

Parole chiave: parafango in gomma , telaio frontale , catena pesi, catena flex in gomma, tensione su catena pesi


Il sistema del parafango in gomma del tipo cellulare è composto principalmente dal corpo del parafango in gomma del tipo cellulare e dalla piastra antiurto.La piastra di impatto è montata all'estremità anteriore del parafango in gomma Accessori per struttura in acciaio, utilizzati per resistere all'impatto della nave e aumentare l'area di contatto tra il parafango in gomma e la nave per ridurre la pressione superficiale del parafango in gomma sulla nave .In condizioni normali, lo stesso parafango in gomma cellulare può sostenere il peso della piastra di impatto.Tuttavia, quando il peso della piastra antiurto supera il carico statico consentito specificato nella tabella I, o quando la specifica del parafango in gomma supera 2000H, deve essere installata una catena a gravità per garantire il normale funzionamento del sistema del parafango in gomma, come mostrato in figura I.

Figura I

Disposizione delle catene di pesi

La catena del peso è generalmente disposta nel cilindro del parafango in gomma del tipo a cellula sotto la gravità della piastra di impatto, un'estremità del parafango in gomma è su entrambi i lati, un'estremità della catena è fissata sulla piastra di impatto e l'altra estremità è fissata su il muro di riva, come mostrato in Figura I

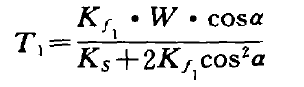
Calcolo della tensione della catena del peso

T=T1+T2

impostare

W: Il peso della piastra di impatto

Ks: coefficiente di elasticità al taglio del parafango

Kf: Coefficiente elastico della catena elastica in gomma

α : L'angolo tra la catena elastica in gomma e l'asse Z

β : L'angolo tra la catena elastica in gomma e l'asse X



Iscriviti Alla Nostra Newsletter

Ricevi gli ultimi aggiornamenti sui nuovi prodotti e sulle vendite imminenti
China Marine Rubber (Qingdao) Industrial Co., Ltd (CMR) è un produttore professionale di parafanghi in gomma marina e prodotti in gomma ingegneristica in Cina.

LINK VELOCI

PRODOTTI

CONTATTACI

 : +86-18766396886
 : +86-13953283589
 : Zona industriale di Jiaobei, Jiaozhou, Qingdao, Cina
Copyright © 2022 China Marine Rubber (Qingdao) Industrial Co., Ltd.  Mappa del sito | 鲁ICP备2022012721号| Tecnologia di leadong.com